ถูกหลอก⚠️มันไม่สลาย❌ถึงฉีดฟิลเลอร์HA💉ก็เถอะ⁉️| DOCTOR DAYDREAMER #SKINCARE101 ep.64
ฟิลเลอร์ไฮยาตกลงสลายได้หมดจริงๆมั๊ย?
ไม่ค่ะ
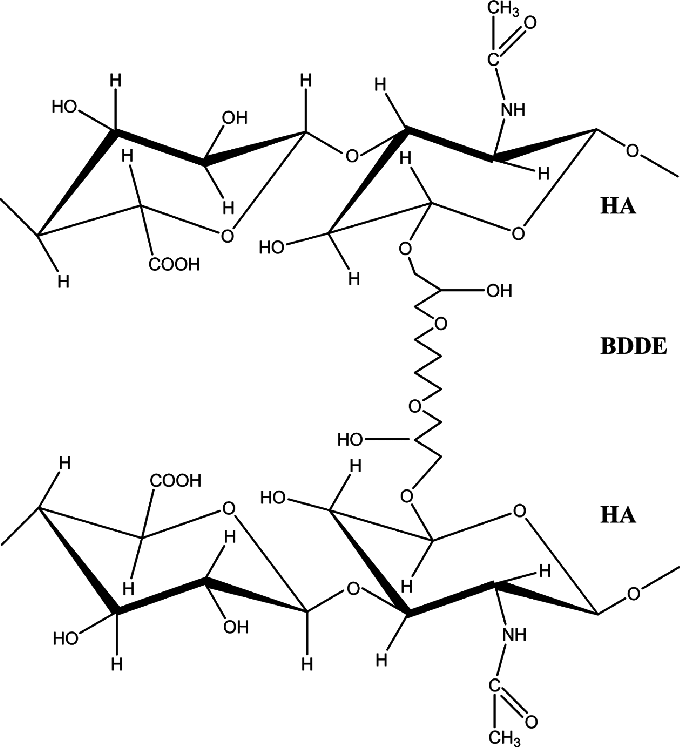
Cross-linked HA คือ HA ที่ถูกเชื่อมโมเลกุลเข้าด้วยกันด้วยสารเชื่อมโยง (เช่น BDDE) ทำให้เกิดโครงสร้างเจลที่มีความคงทนขึ้น อยู่ได้นานขึ้น มีความหนืดและยืดหยุ่นสูง เหมาะสำหรับการฉีดฟิลเลอร์เพื่อเติมเต็มริ้วรอยลึก ปั้นรูปหน้า (คาง, แก้ม, ร่องน้ำหมาก) และเพิ่มวอลุ่ม เพราะเนื้อเจลคงรูปได้ดีกว่าและสลายตัวช้ากว่า HA แบบธรรมดา (Non-crosslinked).
- Cross-linked HA : โมเลกุลเชื่อมกัน, เนื้อคงรูป, อยู่ได้นาน (6 เดือน – 2 ปี), ใช้เติมเต็ม, ปั้นโครงสร้าง.
- Cross-linked HA : โมเลกุลอิสระ, เนื้อหลวม, สลายเร็ว, เหมาะกับ Skin Booster เพิ่มความชุ่มชื้นผิว (ไม่นิยมใช้ฉีดเพื่อเติมเต็มเพราะสลายเร็วมาก).
ในทางทฤษฎี ฟิลเลอร์กรดไฮยาลูโรนิกแบบ Crosslinked HA สามารถย่อยสลายได้ทางชีวภาพ แต่ในทางปฏิบัติ พวกมันไม่ได้ย่อยสลายได้ 100% เสมอไปค่ะ

🧬 1. กรดไฮยาลูโรนิก (HA) เองย่อยสลายได้ 100%
- HA เป็นโพลีแซคคาไรด์เชิงเส้นที่ทําจากหน่วยกรด N-acetylglucosamine + glucuronic ซ้ํา ๆ
- เรามีอยู่แล้วในร่างกาย เช่น ผิวหนังชั้น dermis มี Extracellular matrix ที่เป็นไฮยานี่แหล่ะ
- ในร่างกายปกติแล้วมันจะถูกย่อยสลายอย่างสมบูรณ์โดย: • เอนไซม์ไฮยาลูโรนิเดส (HYAL1, HYAL2) • ชนิดออกซิเจนปฏิกิริยา (ROS) • อนุมูลอิสระและแรงที่มากระทำ เช่น นวด คลึง
- ค่า่ครึ่งชีวิตของ HA ตามธรรมชาติ: • ผิว: ~1-2 วัน • ข้อต่อ: ~1 วัน ดังนั้น HA ธรรมชาติเพียงอย่างเดียวจะหายไปอย่างรวดเร็ว
🧪 2. Crosslinking = ทําให้ HA อยู่ได้นานขึ้น
- HA เดี่ยวๆจะอยู่ได้สั้น แต่HA อยู่ได้นานขึ้น เมื่อมีการเชื่อมโยงกันด้วย cross linked นี่แหลา่ะค่ะ
- สาร cross linked ที่ว่าคือ จะสร้างพันธะเคมีเชื่อมเหมือนสะพานระหว่างโซ่ HA 2 สาย เช่น : BDDE (1,4-butanediol diglycidyl ether) — ตัวเชื่อมขวางที่พบมากที่สุดและปลอดภัยที่สุด • อื่น ๆ (DVS, PEGDE)
- Crosslinking ที่เชื่อมไปมาหลายจุด → สร้างเครือข่ายโครงร่าง 3 มิติ (ไฮโดรเจล)
3D network (hydrogel)
• ต่อต้านการสลายของเอนไซม์ ก็ทำให้ก้อน HA อยู่ได้นานขึ้น
• กักเก็บน้ําได้นานขึ้น
• ปั้นได้และเกิดการยก (คุณหมอสามารถใช้ฉีดเพื่อเทคนิค volumizing, lifting, contouring ได้ค่ะ)

⚠️ 3 ทําไมมันถึงไม่ย่อยสลายได้อย่างสมบูรณ์
แม้ว่า HA ที่เชื่อมจะเข้ากันได้ทางชีวภาพ แต่มีหลายปัจจัยที่สามารถนําไปสู่การย่อยสลายที่ไม่สมบูรณ์:
3.1 การเชื่อมที่หนาแน่นหรือไม่สม่ําเสมอ
• ฟิลเลอร์ HA บางตัวมีการเชื่อมขวางที่แน่นหรือแตกต่างกันมาก ทําให้บางพื้นที่เข้าถึงไฮยาลูโรนิเดสหรือการย่อยสลายตามธรรมชาติได้น้อยลง
• พื้นที่ “แกนกลาง” ที่หนาแน่นเหล่านี้สามารถคงอยู่ได้หลายเดือนถึงหลายปีเป็น micro granules เห็นได้จากตัดชิ้นเนื้อไปส่องกล้องจุลทรรศน์ค่ะ
3.2 การห่อหุ้มหรือพังผืด
• บางครั้งร่างกายก็ก่อตัวเป็นแคปซูล (encapsulated) เส้นใย (fibrosis) หรือไบโอฟิล์ม (biofilm) รอบ ๆ สารตกค้างของฟิลเลอร์
• สิ่งนี้ป้องกัน HA จากการโจมตีของเอนไซม์ ชะลอการสลายตัวอย่างสมบูรณ์
3.3 การเข้าถึงเอนไซม์ที่ไม่สมบูรณ์
• Hyaluronidase (ที่ร่างกายสร้างเอง หรือ หมอใช้ฉีดเพื่อสลายก้อนฟิอลเลอร์) ทําหน้าที่เฉพาะในที่ที่สามารถแพร่กระจายได้เท่านั้น
• ตะกอนฟิลเลอร์ที่ลึกหรือห่อหุ้มอาจเข้าถึงได้ไม่ดี ดังนั้นเศษเล็ก ๆ ยังคงอยู่
3.4 การดัดแปลงทางเคมี
• BDDE crosslinks เป็นพันธะอีเธอร์ซึ่งมีความเสถียรและไม่แตกตัวตามธรรมชาติโดยเอนไซม์ของมนุษย์
• พันธะเหล่านี้สามารถสลายตัวได้อย่างช้าๆตามธรรมชาติ ผ่านการย่อยสลาย hydrolysis หรือ oxydation เท่านั้น ย่อยไม่ได้โดยไฮยาลูโรนิเดส
• ดังนั้น ในขณะที่ส่วนของสายโซ่ HA สามารถย่อยสลายได้ แต่ crosslinked และสารตกค้าง BDDE อาจหลงเหลืออยู่ในเนื้อเยื่อของเราและเห็นได้ด้วยกล้องจุลทรรศน์ค่ะ
🧫 4. หลักฐานทางวิทยาศาสตร์
• Cross-linked HA สามารถตรวจพบได้นานถึง 2-5 ปีหลังจากฉีด โดยเฉพาะอย่างยิ่งในฟิลเลอร์ที่หนาแน่นหรือปริมาณมาก • บ่อยครั้งที่ฟิลเลอร์ที่ตกค้างถูกล้อมรอบด้วย macrophages, giant cells, mild fibrosis หรือพังผืด
• หมายความว่าร่างกายกําลัง “wall it off – ปิดกั้นมัน” แทนที่จะย่อยมันอย่างเต็มที่
• แม้จะมีการฉีดไฮยาลูโรนิเดสจากภายนอกเพื่อสลาย HA แต่ encapsulated ของก้อนที่ว่านั้นก็ยังสามารถคงสภาพเดิมได้หากโครงสร้างนั้นห่อหุ้ม HA ไว้อย่างหนาเเน่นค่ะ (ก็คือไม่สลายนั่นแหล่ะ)
🧠 5. ความหมายทางคลินิก
• ฟิลเลอร์ HA ส่วนใหญ่จะย่อยสลายในที่สุด แต่เศษเล็กเศษน้อยที่เหลือสามารถคงอยู่ในเนื้อเยื่อได้หลายปี โดยเฉพาะอย่างยิ่งหลังจากฉีดหลายครั้งหรือฉีดลึก
• ส่วนที่เหลือเหล่านี้มักไม่ได้มีส่วนได้ส่วนเสียอะไรกับเรา ก็คืออยู่เฉยๆอย่างสงบสุข
• แต่มันสามารถ: รบกวนการวางฟิลเลอร์ใหม่, กระตุ้นปฏิกิริยาการอักเสบ หรือ ทำให้ไบโอฟิล์ม ถูกกระตุ้นอีกครั้งจากการติดเชื้อ เป็นต้นค่ะ

สรุป
ตัวกรดไฮยาลูโรนิกเองสามารถย่อยสลายได้อย่างสมบูรณ์ แต่รูปแบบฟิลเลอร์แบบ Cross-linked HA อาจคงอยู่บางส่วน โดยเฉพาะอย่างยิ่งในส่วนที่ก้อนมีความหนาแน่น ถูกห่อหุ้ม ดังนั้นในทางทฤษฎี การย่อยสลายฟิลเลอร์ประเภทนี้ถือว่า สมบูรณ์ทางชีวภาพค่ะ แต่ในโลกแห่งความเป็นจริงไม่ใช่ว่าโครงสร้างทั้งหมดในเนื้อเยื่อจะสลายได้100%เสมอไปค่ะ

___________________________________
ติดตาม Lifestyle ของหมอดรีมกับช่องทาง DOCTOR DAYDREAMER ได้ที่..
YOUTUBE : https://www.youtube.com/doctordaydreamer
FACEBOOK : https://www.facebook.com/doctordaydreamer
INSTAGRAM : https://instagram.com/doctor.daydreamer
TIKTOK : https://www.tiktok.com/@doctordaydreamer
X : https://x.com/drdaydreamerzzz
LEMON8 : https://lemon8-app.com/@doctordaydreamer
WEBSITE : http://www.doctordaydreamer.com
SPOTIFY PODCAST : https://open.spotify.com/show/5hzIs8AE8JDT4DSBjComzG
กลุ่มช่วยกันชำแหละสูตรสกินแคร์ https://www.facebook.com/groups/173089624608800
___________________________________

ติดตาม คลินิกของหมอดรีม Dr. Dream Clinic ได้ที่..
LINE : @drdreamclinic http://lin.ee/JuEPv6h
FACEBOOK (Official fanpage): https://www.facebook.com/drdreamclinic
FACEBOOK (สาขากรุงเทพมหานคร): https://www.facebook.com/drdreamclinicbkk
INSTAGRAM : https://instagram.com/dr.dream.clinic
___________________________________
ขอบคุณที่รับชมและติดตามค่ะ
